会员资源切换至【手机版】

切换本帖至【手机版】


开启左侧

[知识] 讲一点点数学:曲率的意义是什么?

[复制链接]
发表于 2025-6-29 12:02:42 | 显示全部楼层 |阅读模式
我今天给大家讲二维曲率二维曲率相当有趣(以后简称曲率),它和大家想象的时空曲率有所差距,却又是理解时空曲率基础
那么大家就开门见山地问了:那你说说,什么是二维曲率,这种曲率的意义又是什么呢?

讲一点点数学:曲率的意义是什么?

讲一点点数学:曲率的意义是什么?


在讲曲率是什么之前,我先带领大家看一些我们生活中常见的东西:
请看下图,你说道:这不就是两条直线嘛。

讲一点点数学:曲率的意义是什么?

讲一点点数学:曲率的意义是什么?


接着。我们再看这条曲线

讲一点点数学:曲率的意义是什么?

讲一点点数学:曲率的意义是什么?


我相信,你此时的脑海里已经将曲率,直线,曲线这三者联系起来了。你不由自主地猜想到:“我觉得直线的曲率是0,曲线的曲率不是0。曲线曲线,自然有曲率了,而且应该不是0.”
没错,你这样想完全没问题,因为我们的逻辑几乎都是从具体到抽象的,而反过来就难以理解了,我们的大科学家们为了描述自然界中的曲直现象,因此不得不定义出某种新的概念或是发明新的数学方法来。如果我们生在他们那个知识贫瘠的年代,也一定会像他们一样,想当然地定义和运算某些新发现的事物。


讲一点点数学:曲率的意义是什么?

讲一点点数学:曲率的意义是什么?


高斯
请仔细看下图,曲线的弯曲程度在每个点上都是不同的!有的地方弯曲的明显感觉厉害,有的地方明显就没那么厉害了,我们想当然地会说:弯曲大的地方曲率会大,弯曲一般的地方曲率则小。

讲一点点数学:曲率的意义是什么?

讲一点点数学:曲率的意义是什么?


那么,大数学家高斯就说了:“我要定量分析曲率,我要自己发明描述曲率的数学工具,定义自然界曲率的数学规则,而不是定性地用“大”或者“小”描述它。”
他是怎么做的呢?我们引入曲率圆曲率半径的概念:

讲一点点数学:曲率的意义是什么?

讲一点点数学:曲率的意义是什么?


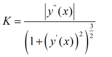
曲率K用哪个公式算呢?它是由y=f(x)的一阶导数和二阶导数组合而成的公式,如果你不懂导数,请在笔者空间看讲导数的那一篇文章。

讲一点点数学:曲率的意义是什么?

讲一点点数学:曲率的意义是什么?


注意,我们现在研究的曲率只是二维平面的曲率,而未来要讲的三维曲率四维曲率(黎曼曲率)一个比一个复杂

讲一点点数学:曲率的意义是什么?

讲一点点数学:曲率的意义是什么?


黑尖尖越长,表明该点的曲率越大
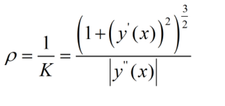
曲率半径又是什么意思呢?它等于曲率的倒数:


讲一点点数学:曲率的意义是什么?

讲一点点数学:曲率的意义是什么?



讲一点点数学:曲率的意义是什么?

讲一点点数学:曲率的意义是什么?


曲率圆越大,曲率半径越大,曲率反而越小,那一点处越不显得“弯”。
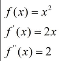
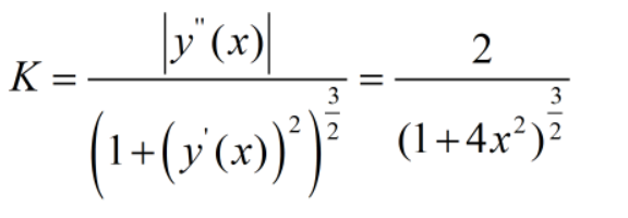
还是老办法,讲了这么多不管用的,我还是给大家做个实验让大家“”见数学吧:现在我们研究一下y=x^2这条抛物线在各点处的曲率是如何变化的。
若:

讲一点点数学:曲率的意义是什么?

讲一点点数学:曲率的意义是什么?




讲一点点数学:曲率的意义是什么?

讲一点点数学:曲率的意义是什么?


这个曲率图像长什么样子呢?笔者用数学软件给大家画出来了:


讲一点点数学:曲率的意义是什么?

讲一点点数学:曲率的意义是什么?


这就是y=x^2的曲率变化我们发现,它在x=0的时候曲率是最大的,曲率的值是2,之后两边的曲率就越来越小了,曲率越小,长得越像直线。曲率越大,长得越像圆。

讲一点点数学:曲率的意义是什么?

讲一点点数学:曲率的意义是什么?


哦,多么有趣的问题,曲率越大的东西“长得越圆越弯”,那么圆的曲率是多少呢?
没错,你没有看错,圆的曲率就是它本身的半径R分之一:


讲一点点数学:曲率的意义是什么?

讲一点点数学:曲率的意义是什么?



讲一点点数学:曲率的意义是什么?

讲一点点数学:曲率的意义是什么?


半径越大的圆,它的曲率越小,是不是很奇怪呢?

二维曲率的故事就暂且告一段落了,感谢大家抽空阅读~


讲一点点数学:曲率的意义是什么?

讲一点点数学:曲率的意义是什么?


理查德.费曼

        
        

主题推广




回复

使用道具 举报

您需要登录后才可以回帖 登录 | 立即注册

本版积分规则

切换至【手机版】|主站|Archiver|Amituforum 无量觉社区

JS of wanmeiff.com and vcpic.com Please keep this copyright information, respect of, thank you!JS of wanmeiff.com and vcpic.com Please keep this copyright information, respect of, thank you!

|网站地图

GMT+8, 2026-3-31 16:09 , Processed in 0.337250 second(s), 23 queries .

Powered by amitufo

© 一时

快速回复 返回顶部 返回列表