搜索


会员资源切换至【手机版】

切换本帖至【手机版】


开启左侧

佛堂讲话扫描版[PDF]

[复制链接]
发表于 2021-8-23 15:35:47 | 显示全部楼层 |阅读模式
游客,本帖隐藏的内容需要积分高于 1 才可浏览,您当前积分为 0


资源信息:



中文名


: 佛堂讲话


作者


: 道源老法师 讲述 许宽成居士 记录


图书分类


: 文化


资源格式


: PDF


版本


: 扫描版


出版社


: 佛教青年协会


书号


: 无


发行时间


: 1988年


地区


: 香港


语言


: 繁体中文


概述


:




内容介绍:


  道源上人佛堂讲话叙   台中灵山寺向由德真德钦二师主持,修行精进。民国三十八年己丑,李雪庐老居士自鲁来台,得其领导,说法讲经,念佛作七,弘扬净土。庚寅起,每岁春冬,且必作佛七二次,与会者咸欢喜踊跃。四十六年净宗讲堂落成后,益形跄济。四十七年戊戌仲春,延请基隆八堵正道山海会寺道源上人为主七师,念佛之余,每晚开示,系统厘秩,组织谨严,本末先后,一以贯之。其标题:第一曰、念佛须知了生死;第二日、念佛当发菩提心;第三日、念佛切勿起疑念;第四日、念佛决定愿往生;第五日、念佛必须认真念;第六日、念佛结期应求证;第七日、念佛平时须相续。一为自利,二为利他,三为信,四为愿,五为行,六为加行,七为常行。以发菩提心为第一要义,以信愿行为实践功夫。而于正行、加行、常行,尤苦口婆心,切切实实,特别提示。语似平淡,而义极高深;深入显出,闻者心豁。雪师当时为偈颂云:‘此事专为求一心,不高深处最高深;果能念念了生死,满眼皆成七宝林。’盖有以也!   上人俗姓王,世居河南商水周家口,民国八年弱冠出家,十二年受具足戒,十六年至抗战期间,亲近慈舟大师,为入室弟子。大师平生,弘华严教,持比丘戒,修净土行。上人师承无间,得其神髓。又上人鉴于世之弘法者,每执空谤有,执有谤空,发愿冀转即空即有,即有即空之中道法轮,因号中轮沙门。其志事之峻伟,足资赞叹矣。   台湾省立农学院教授许宽成师兄,曾将上人当日开示语,本本原原,记录成帙。上人加以润色,题曰‘佛堂讲话’,分期发表于中国佛教月刊,读者珍若玙璠。兹者醵金印为专册,以广流布。窃望同道之士,共发菩提真心,矢信不疑,矢愿不尽,矢行不息;念玆在兹,择玆在兹。七宝园林,当前即是;莲邦消息,何待他求。承属弁言,辄述叙梗概,聊与上人结此胜缘耳。   中华民国四十八年六月,菩萨戒弟子周邦道,于台湾省立农学院


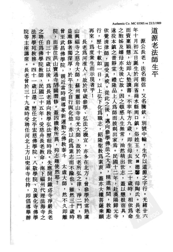
内容截图:













目录


: 道源上人佛堂讲话叙 一、念佛须知了生死 二、念佛当发菩提心 三、念佛切勿起疑念 四、念佛决定愿往生 五、念佛必须认真念 六、念佛结期应求证 七、念佛平时须相续

主题推广




回复

使用道具 举报

您需要登录后才可以回帖 登录 | 立即注册

本版积分规则

切换至【手机版】| 主站| Archiver|

JS of wanmeiff.com and vcpic.com Please keep this copyright information, respect of, thank you!JS of wanmeiff.com and vcpic.com Please keep this copyright information, respect of, thank you!

|网站地图

GMT+8, 2026-3-31 15:33 , Processed in 0.984937 second(s), 124 queries .

 

快速回复 返回顶部 返回列表